top left corner top edge top right corner
left edge daniel.brogan.name HOME daniel.brogan.name HOME


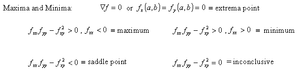
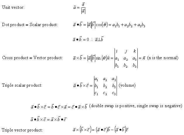
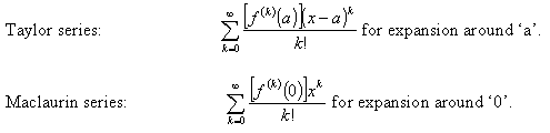
Useful Multidimensional Calculus Equations Related to
Electrical Engineering
Specifically from EE 544 at UNH

Not Responsible for typographical errors


Contact the WebServant © 2002-04 | FAQ | SOURCES
right edge
bottom left corner bottom edge bottom right corner