top left corner top edge top right corner
left edge daniel.brogan.name HOME daniel.brogan.name HOME


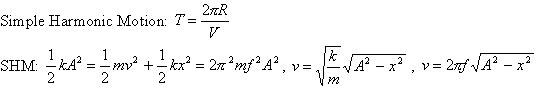
Useful Physics Equations:
Waves and Light

Not Responsible for typographical errors


Contact the WebServant © 2002-04 | FAQ | SOURCES
right edge
bottom left corner bottom edge bottom right corner